jueves, 31 de marzo de 2022

1625. Belleza integral...

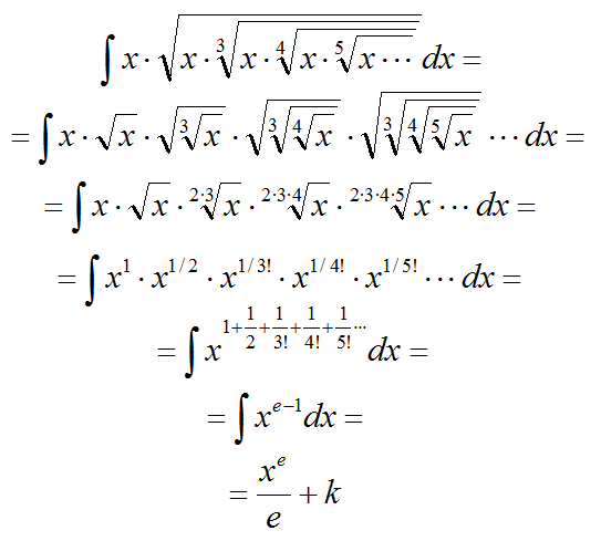
     Pepe Chapuza sabía que el tema de integrales daba miedo, así que se propuso asustar:

    Profe, mire que integral...


    ¡Ánimo, valientes! No os enfrentáis al miedo sino a la belleza...

SOLUCIÓN

    Nina Guindilla no tardó en coger al toro por los cuernos...


    Profe, mire. He tenido que acordarme de que

exx0/0! + x1/1! + x2/2! + x3/3! + x4/4! + x5/5! + ···
e = 1 + 1 + 1/2 + 1/3! + 1/4! + 1/5! + ···
    ¡Bravo!
    No se fue Nina sin plantear otra belleza integral...

    Profe, mire. Si E es la función "parte entera" calcule   ʃ01 E(10x) dx .

RESOLUCIÓN

    Profe, mire. Se trata de la integral definida de una función escalonada. En el dibujo se comprueba que el área que buscamos (la azul) es (el rectángulo menos la amarilla):

9 − log2 − log3 − log4 − log5 − log6 − log7 − log8 − log9 =
= 9 − (log2+log3+log4+log5+log6+log7+log8+log9) =
= 9 − log(2·3·4·5·6·7·8·9) =
= 9 − log 9!
cuyo valor aproximado es 3,44.

martes, 29 de marzo de 2022

1624. Un círculo mágico.

    Pepe Chapuza nos mostró el siguiente círculo mágico:
    Profe, mire. Aparecen los números del 1 al 32 y en cada circunferencia y en cada diámetro los números suman siempre 132 (66 en cada semicircunferencia y en cada radio)... 
    Mire, profe. Se puede poner esta misma disposición en una esfera (sería una esfera mágica), distribuyendo los números en paralelos y meridianos...
    En realidad, eran modificaciones de cuadrados mágicos. ¿Puedes traer a clase alguna figura mágica?

SOLUCIÓN

    Nina Guindilla trajo una estrella mágica de siete puntas y dos vueltas:
    Mire, profe. Se sabe que no hay estrellas mágicas de cinco puntas (con los números del 1 al 10). Y la estrella mágica de seis puntas es archiconocida... Así que he aquí mi estrella mágica favorita...

    ¿Alguna aportación más?

RESOLUCIÓN

    Yoyó Gaviota se presentó con dos estrellas mágicas más: la de ocho puntas y la de nueve, ambas de dos vueltas...
    Mire, profe. En una estrella mágica de N puntas aparecen los números del 1 al 2N. La suma de todos estos números es N·(2N+1), así que la suma en cada lado es 2·(2N+1) = 4N+2. Esto se puede comprobar con las estrellas de 7, 8 y 9 puntas que hemos visto:

4·7 + 2 = 30
4·8 + 2 = 34
4·9 + 2 = 38

    Sigue buscando la magia de las matemáticas...

viernes, 25 de marzo de 2022

1623. Se acaba la función...

    Había pedido estudiar la función  f(x) = |x|x  si  x ≠ 0  y  f(0) = 1 . Pepe Chapuza empezó con los ítems explicados en clase...

1) Dominio:
    Para   x ≠ 0  f(x)  es una potencia de base positiva bien definida y también está bien definida la ordenada en el origen, por lo que  Dom(f) = (−∞, ∞) .

2) Simetría:
    No es ni par ni impar. He aquí un contraejemplo:

f(2) = 22 = 4
f(−2) = 2−2 = 1/4
−f(2) = −4
3) Signo:
    La función es siempre positiva porque  |x|x > 0  1 > 0 . La gráfica está toda ella sobre el eje de abscisas, esto es, en los cuadrantes primero y segundo.

    Pepe ha dado los primeros pasos. ¿Quién quiere seguir?

SOLUCIÓN

    Nina Guindilla abordó tres ítems más...

4) Continuidad:
    Solo hay que calcular límites cuando  x → 0 .

límx→0 |x|x = límx→0 expe loge |x|x expe límx→0 x·loge|x| expe límx→0 loge|x| / (1/x) =

    Aquí aplico la regla de L'Hôpital...

expe límx→0  (1/x) / (−1/x2) expe límx→0 (x) = e0 = 1 = f(0)

    Por lo tanto la función  f  es continua.

5) Tendencias:
    Cuando  x → −∞ ,  límx→−∞ |x|x = ∞−∞ = 0 . Hay una asíntota horizontal en  y = 0 .
    Cuando  x → ∞ ,  límx→∞ |x|x = ∞ = ∞ ;  límx→∞ |x|x / x =  límx→∞ xx−1 = ∞∞−1 = ∞ . Hay una rama parabólica vertical.
    Así que  Rec(f) = (0, ∞) .

6) Derivabilidad:
    Utilizo la derivación logarítmica.
 loge f(x)  =  x · loge|x|
f '(x) / f(x)  =   1 · loge |x|  +  x · 1/x  =  loge |x| + 1
f '(x)  =  |x|x · ( loge|x| + 1 )
    Calculo límites cuando  x → 0 .

límx→0  |x|x · ( loge|x| + 1 ) = límx→0 |x|x · límx→0 ( loge|x| + 1 ) = 1 · (−∞+1) = −∞

    En sentido estricto,  f  no es derivable en  x = 0  (punto singular), pero si admitimos derivadas infinitas entonces tenemos que  f '(0) = −∞ . La gráfica es, además de continua, suave.

    ¡Ánimo, que queda poco!

RESOLUCIÓN

    Para "terminar la función" Yoyó Gaviota estudió la monotonía y la curvatura, lo que le permitió esbozar la gráfica...

7) Monotonía:
    Los puntos críticos cumplen  f '(x) = 0 , por tanto

 loge|x| + 1 = 0
loge|x| = −1
|x| = 1/e
x = ± 1/e
    Y tenemos

 x =

−1

−1/e

0

1/e

1

 f '(x) =

1

0

−∞

0

1


    Por lo que  f  es creciente en  (−∞−1/e) ∪ (1/e, ∞)  y decreciente en  (−1/e, 1/e) . Por lo tanto hay un máximo local en  x = 1/e  y un mínimo local en  x = 1/e . (En  x = 0  hay un punto de inflexión vertical convexo-cóncavo.)

8) Curvatura:
    La segunda derivada,  f "(x) = |x|x · ( loge|x| + 1 )2 + |x|x · (1/x) , se anula cuando

( loge|x| + 1 )2 + 1/x = 0
( loge|x| + 1 )2 = 1/x
por lo que tiene que ser  x < 0 
loge(x) + 1 = 1/√(x)
    La solución  x = es obvia
ln 1 + 1 = 0 + 1 = 1
1/√1 = 1/1 = 1

y es única porque  loge(x) + 1  decrece y  1/√(x)  crece.
    Y se deduce, de los ítems 5 y 6, que en  x = 0  hay un punto de inflexión vertical convexo-cóncavo. Así  f "(0) = −∞  y  f "(0+) = +∞  (*)

 x =

−e

−1

−1/e

0

1

 f "(x) =

> 0

0

< 0

(*)

> 0


     Por lo que  f  es cóncava en  (−∞−1) ∪ (0, ∞)  y convexa en  (−1, 0) . Y hay otro punto de inflexión, este oblicuo y cóncavo-convexo, en  x = −1 .

9) Gráfica:
    Con todos estos datos podemos representar la función... (Al menos un esbozo.)

lunes, 21 de marzo de 2022

1622. Un positivo en juego

    Había que corregir un ejercicio en la pizarra... ¡Había un positivo en juego! Pedí voluntarios...
    Vi siete manos alzadas y dudaba a quién sacar, así que decidí que sería el azar de un sorteo el que iba a elegir por mí: escribí un número del 1 al 7 en la pizarra sin que nadie lo viera y lo tapé, y pedí a los voluntarios, siguiendo el orden de la lista de clase, que fueran diciendo un número del 1 al 7 hasta que alguno acertara. Enseguida el último protestó argumentando que los anteriores tenían ventaja ya que podían quitarle el número que tenía pensado o, lo que era peor, podían acertar, lo cual era bastante probable, y ya ni siquiera tendría la oportunidad de participar en el sorteo ni de llevarse el positivo...
    Pepe Chapuza replicó que era un procedimiento justo y que todos tenían la misma probabilidad de salir a la pizarra, participaran o no el sorteo, por paradójico que pareciera...
    ¿Tenía razón Pepe?

SOLUCIÓN

    Nina Guindilla llamó A1A2A3A4A5A6 y Aa los sucesos que indican que el alumno 1.º, 2.º, 3.º, 4.º, 5.º, 6.º o 7.º, respectivamente, acertará el número de la pizarra.

    Mire, profe.
    La probabilidad de que el alumno 1.º salga a la pizarra es P(A1) = 1/7.
    La probabilidad de que salga el 2.º es P(1A2) = P(1)·P(A2|1) = 6/7 · 1/6 = 1/7.
    La del 3.º es P(12A3) = P(1)·P(2|1)·P(A3|12) = 6/7 · 5/6 · 1/5 = 1/7.
    Y así sucesivamente. ¡Todos tienen la misma probabilidad de salir!

    Para ilustrar otro ejemplo de probabilidades aparentemente paradójicas mencioné el problema de Monty Hall...
    En un concurso presentado por Monty había tres puertas. Una ocultaba un coche y las otras sendas cabras... El concursante elegía una puerta y antes de abrirla Monty abría otra puerta por la que salía una cabra. En ese momento Monty permitía al concursante cambiar su elección y abrir cualquiera de las dos puertas que quedaban... ¿Tú qué habrías hecho, abrir la puerta elegida inicialmente o la otra?

RESOLUCIÓN

    Yoyó Gaviota dudó un rato pero al final se decidió:

    Profe, mire. La probabilidad de que el coche esté en la puerta elegida inicialmente es 1/3, por lo tanto la probabilidad de que no esté es el doble, 2/3. Al salir la cabra por una puerta no elegida, la probabilidad de que el coche esté en la otra puerta no elegida es precisamente ese 2/3. ¡Esa es la puerta que hay que abrir!

jueves, 17 de marzo de 2022

1621. Página de sucesos...

    Mire, profe. Dado el experimento aleatorio típico de lanzar un dado, consideremos los sucesos

A = {2, 4, 6}   (sale un número par)
B = {3, 4, 5, 6}   (sale mayor que 2)
C = {4, 5, 6}   (sale mayor que 3)

    Pues mire. Resulta que A y B son independientes pero A y C no lo son.

    Los compañeros se sorprendieron de lo que acababa de afirmar Pepe Chapuza, dada la similitud de los sucesos B y C. Sin embargo era verdad, ¿verdad?

SOLUCIÓN

    Nina Guindilla hizo los cálculos...

    Mire, profe. Dos sucesos son independientes si la probabilidad de la intersección de ambos coincide con el producto de sendas probabilidades. Con la regla de Laplace...

E = {1, 2, 3, 4, 5, 6}   (suceso seguro)
A ∩ B = A ∩ C = {4, 6}
P(A ∩ B) = P(A ∩ C) = 2/6 = 1/3
P(A) · P(B) = 3/6 · 4/6 = 1/3
P(A) · P(C) = 3/6 · 3/6 = 1/4

    La explicación es que en los sucesos B y E hay tantos resultados pares como impares, sin embargo en el suceso C hay más resultados pares que impares.

    ¿Qué ocurriría si se lanzan dos dados?

RESOLUCIÓN

    Yoyó Gaviota calculó los casos...
    Profe, mire:
    Casos posibles, 6·6 = 36
    Casos favorables de A, 36/2 = 18
    Casos favorables de B, 36 − 1 = 35
    Casos favorables de C, 36 − 3 = 33
    Casos favorables de A ∩ B, 18 − 1 = 17
    Casos favorables de A ∩ C, 18 − 1 = 17

P(A ∩ B) = P(A ∩ C) = 17/36
P(A) · P(B) = 18/36 · 35/36 = 35/72
P(A) · P(C) = 18/36 · 33/36 = 11/24

    ¿Lo ve? ¡Ahora no hay sucesos independientes!

1620. Intersecciones...

     Pepe Chapuza proyectó un diagrama de Venn en el que se mostraba las intersecciones de los alfabetos latino, griego y cirílico. Aunque en realidad, estas dependían de la tipografía empleada y de los idiomas escogidos...

    Busca intersecciones interesantes...

SOLUCIÓN

    Nina Guindilla nos deleitó con estas intersecciones:

    ¿Algo más?

RESOLUCIÓN

    Yoyó Gaviota trajo una perogrullada de intersección..., pero de matemáticas:

viernes, 11 de marzo de 2022

1619. El undécimo lema

     Estaba explicando en clase un resultado, sobre cuerdas de un círculo, que aparece en el libro de los lemas de Arquímedes. En particular, se trataba del undécimo lema, cuyo enunciado rezaba:

    "Si, en un círculo de radio R, el punto de intersección de dos cuerdas perpendiculares secantes divide a estas en los segmentos A, B, C y D, entonces,  A² + B² + C² + D²  =  4R² ".
    Pepe Chapuza trajo una demostración al día siguiente:
    Profe, mire. El triángulo rectángulo de catetos A y B (e hipotenusa E) es semejante al triángulo rectángulo de catetos C y D (e hipotenusa F) ya que tienen sendos ángulos agudos que subtienden los mismos arcos. Si le damos la vuelta al triángulo C-D-F (para obtener el simétrico) como en la última figura, tenemos que E y F son perpendiculares (suma de ángulos complementarios) por lo que el triángulo rectángulo de catetos E y F tiene hipotenusa 2R, de donde...

A² + B² + C² + D²  =  E² + F²  =  (2R)²  =  4R²

    ¡Bonita demostración! Obtén, dados los lados, una fórmula para el circunradio de un cuadrilátero cíclico ortodiagonal a partir del undécimo lema.

SOLUCIÓN

    Mire, profe. Las diagonales de un cuadrilátero cíclico ortodiagonal son cuerdas perpendiculares secantes de su círculo circunscrito por lo que podemos aplicar el úndecimo lema.
    El razonamiento de Pepe nos da la solución con los lados E y F y, por analogía, con G y H.

R  = ½ √ ( E² + F² ) = ½ √ ( G² + H² )

    De hecho, E² + F²  =  G² + H²  se cumple en todo cuadrilátero ortodiagonal, sea o no cíclico.

    Nina Guindilla también obtuvo una fórmula para la superficie del cuadrilátero.

    Mire, profe. Por ser ortodiagonal, la fórmula de la superficie es como la del rombo:

S  =  ½ (A+C)(B+D)

y por ser cíclico se cumple el teorema de Tolomeo, por lo que

S  =  ½ (EF+GH)

    Si un cuadrilátero cíclico no es ortodiagonal, entonces no podemos aplicar el undécimo lema. ¿Cuánto mediría entonces el cincunradio?

RESOLUCIÓN

    Yoyó Gaviota encontró la "formulita" de Parameśvara:

 =  ( (EF+GH) (EG+FH) (EH+FG)/(E+F+G−H)/(E+F+H−G)/(E+G+H−F)/(F+G+H−E) )

    Profe, mire. 
    Si permutamos las letras conseguimos la misma fórmula... Esta fórmula nos da el circunradio de un cuadrilátero cíclico de lados E, F, G y H independientemente de qué lados son contiguos y cuáles opuestos. Salvo isometrías son tres los cuadriláteros: E-F-G-H, E-G-F-H y E-F-H-G. Todo esto es lógico porque los lados son cuerdas que se pueden reordenar y encajar en el mismo círculo.
    También las superficies de los tres cuadriláteros coinciden porque en realidad son el círculo menos los cuatro sectores determinados por los lados E, F, G y H. Esto se puede observar, igual que antes, permutando las letras en la fórmula de Brahmagupta.

S = ¼ √ ( (E+F+G−H) (E+F+H−G) (E+G+H−F) (F+G+H−E) )

    Cerré el asunto comentando que de entre todos los cuadriláteros de lados E, F, G y H, los de mayor superficie eran los tres cíclicos... Y que para que cuatro segmentos E, F, G y H pudieran perimetrar un cuadrilátero, el mayor debe ser menor que la suma de los otros tres... Pero Yoyó no quiso terminar sin resolver un ejemplo con números...

    Mire, profe.
    ¿Cuánto mide la superficie del círculo circunscrito a un cuadrilátero de lados 5, 7, 10 y 11 centímetros? ¿Y la del propio cuadrilátero?
    Primero el cuadrilátero, que es cíclico. Es posible porque 5+7+10 = 22 > 11.

5+7+10−11 = 11
5+7+11−10 = 13
5+10+11−7 = 19
7+10+11−5 = 23
¼ √ (11·13·19·23) = 62,4955 cm²
    Ahora el círculo...
5·7 + 10·11 = 145
5·10 + 7·11 = 127
5·11 + 7·10 = 125
π·147·127·125/11/13/19/23 = 115,7215 cm²

jueves, 3 de marzo de 2022

1618. Cuerdas paralelas

    Pepe Chapuza cogió una tiza y con mucha habilidad dibujó una circunferencia en la pizarra a mano alzada... y le salió redonda redonda... Y a continuación me propuso, ¡cómo no!, un problema de geometría:


    Profe, mire. En un circulo hay dos cuerdas paralelas que miden 8cm y 14cm, respectivamente. Calcule la distancia entre las cuerdas... sabiendo que, medida en centímetros, es un número natural.

    Dejé que la clase lo pensara...

SOLUCIÓN

    Nina Guindilla se dio cuenta al instante de que el problema podía tener varias soluciones...

    Mire, profe. El centro del círculo puede quedar entre las cuerdas o no. Vamos a llamar X e Y a las distancias del centro del círculo a las cuerdas corta y larga, respectivamente. La distancia entre las cuerdas será X+Y  o X−Y. Tenemos las siguientes relaciones:

X² + 4² = R² ;  Y² + 7²  = R² 
(X+Y)·(X−Y) = X² − Y²  = 7² − 4²  = 49 − 16 = 33 = 11·3 = 33·1
    O bien...
X+Y = 11cm ;  X−Y = 3cm
o bien...
X+Y = 33cm ;  X−Y = 1cm
    Y no cabe otra opción...

    ¿Qué radio tiene el círculo en cada caso?

RESOLUCIÓN

    Yoyó Gaviota resolvió los sistemas...

    Profe, mire. 
    En el primer caso, X = 7cm, Y = 4cm, R = √(49+16) = √65 = 8,06cm.
    Y en el segundo, X = 17cm, Y = 16cm, R = √(289+16) = √(256+49) = 305 = 17,46cm.